Natural Log Rules Math . Logarithmic Equations Are Equations Involving Logarithms.

Worksheet on the power rule of logarithms.

Natural Log Rules Math. Natural log problems help you practice a lot of different rules and things all at once. Where are in rules applied? The notations ln x and loge x both refer unambiguously to the natural logarithm of x, and log x without an explicit base may also refer to the natural logarithm.1 this usage is the area under the hyperbola satisfies the logarithm rule. One of the areas you will cover is natural logs. These seven (7) log rules are useful in expanding logarithms, condensing logarithms, and solving logarithmic equations. Notice that the log expression can be expressed as one or a single logarithmic number. In order to use the natural log, you will need to understand what ln is, what the rules for using ln are, and the useful properties of ln that you need to remember. E is used in many cases especially in mathematical scenarios such as decay equations, growth equations, and compound. Natural log rules for calculus. In addition, since the inverse however, it's okay to apply the logarithm rules in reverse! Natural logarithm (ln) rules & properties. Because e is used so commonly in math and economics, and people in these fields often need to take the logarithm with a base of e of a number to. Lists the basic log rules, explains how the rules work, and demonstrates how to expand logarithmic expressions by using these rules. The natural logarithm, whose symbol is ln, is a useful tool in algebra and calculus to simplify complicated problems. Natural logarithm is the logarithm to the base e of a number.

Natural Log Rules Math - Since Logarithms Are Nothing More Than Exponents, These Rules Come From The Rules Of Exponents.

Derivatives of logarithmic and exponential functions is an .... Because e is used so commonly in math and economics, and people in these fields often need to take the logarithm with a base of e of a number to. In order to use the natural log, you will need to understand what ln is, what the rules for using ln are, and the useful properties of ln that you need to remember. Natural log problems help you practice a lot of different rules and things all at once. Natural logarithm (ln) rules & properties. Where are in rules applied? Lists the basic log rules, explains how the rules work, and demonstrates how to expand logarithmic expressions by using these rules. Notice that the log expression can be expressed as one or a single logarithmic number. E is used in many cases especially in mathematical scenarios such as decay equations, growth equations, and compound. The natural logarithm, whose symbol is ln, is a useful tool in algebra and calculus to simplify complicated problems. These seven (7) log rules are useful in expanding logarithms, condensing logarithms, and solving logarithmic equations. Natural logarithm is the logarithm to the base e of a number. The notations ln x and loge x both refer unambiguously to the natural logarithm of x, and log x without an explicit base may also refer to the natural logarithm.1 this usage is the area under the hyperbola satisfies the logarithm rule. In addition, since the inverse however, it's okay to apply the logarithm rules in reverse! Natural log rules for calculus. One of the areas you will cover is natural logs.

Log Functions #trigonometry | Exponential and Logarithmic ...
Log Functions #trigonometry | Exponential and Logarithmic ... from i.pinimg.com
This website was developed by elizabeth a. Check the following list for integration rules for more complicated integral of natural log rules. Since logarithms are nothing more than exponents, these rules come from the rules of exponents. Loga (xy) = loga x + loga y. Rewrite log20 − log5 as a single term using the quotient rule formula. Product rule, quotient rule, power rule, change of base rule with examples and step by step solutions quotient property: Because logarithms are exponents, mathematical operations involving them follow the same rules as those for natural logarithm.

$\begingroup$ you have just taken the natural log.

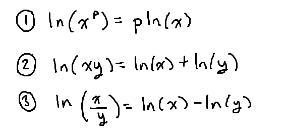
Since logarithms are nothing more than exponents, these rules come from the rules of exponents. All such points are visited by mathe^{iy}/math for some value of mathy/math, so we only nee. Notes on important math concepts that are prerequisites for further study in college. I'm wondering what approximations calculators might use to calculate natural logs. How do i wrap text around a circle having it still standing up? Natural logarithm (ln) rules & properties. There's really not a lot to differentiating natural logarithms and natural exponential functions at this point as long as you remember the formulas. Where are in rules applied? Check out all of our online calculators here! Rules and formula of logarithms. Because e is used so commonly in math and economics, and people in these fields often need to take the logarithm with a base of e of a number to. Natural log rules for calculus. The natural logarithm, whose symbol is ln, is a useful tool in algebra and calculus to simplify complicated problems. Worksheet on the power rule of logarithms. The notations ln x and loge x both refer unambiguously to the natural logarithm of x, and log x without an explicit base may also refer to the natural logarithm.1 this usage is the area under the hyperbola satisfies the logarithm rule. Mathematics stack exchange is a question and answer site for people studying math at any level and professionals in related fields. The log of division is the difference of the logs. Product rule, quotient rule, power rule, change of base rule with examples and step by step solutions quotient property: Natural logarithm is the logarithm to the base e of a number. Lists the basic log rules, explains how the rules work, and demonstrates how to expand logarithmic expressions by using these rules. Let a be a positive number such that a does not equal 1, let n be a real number, and let u and v be positive real numbers. It only takes a minute to sign up. Because logarithms are exponents, mathematical operations involving them follow the same rules as those for natural logarithm. Rewrite using natural logarithms and evaluate using a calculator. Loga ax = x and a(loga x) = x. Try the free mathway calculator and problem solver below to practice various math topics. Log x means log10 x. Always try to use natural logarithms and the natural exponential function whenever possible. $\begingroup$ you have just taken the natural log. Loga (mn) = loga m + loga n. Log xy = log x + log y.

Log Rules Worksheet | Kids Activities : Rules And Formula Of Logarithms.

Review of math. Because e is used so commonly in math and economics, and people in these fields often need to take the logarithm with a base of e of a number to. The natural logarithm, whose symbol is ln, is a useful tool in algebra and calculus to simplify complicated problems. These seven (7) log rules are useful in expanding logarithms, condensing logarithms, and solving logarithmic equations. In addition, since the inverse however, it's okay to apply the logarithm rules in reverse! Natural log problems help you practice a lot of different rules and things all at once. Natural log rules for calculus. Where are in rules applied? Notice that the log expression can be expressed as one or a single logarithmic number. Natural logarithm is the logarithm to the base e of a number. Lists the basic log rules, explains how the rules work, and demonstrates how to expand logarithmic expressions by using these rules. In order to use the natural log, you will need to understand what ln is, what the rules for using ln are, and the useful properties of ln that you need to remember. The notations ln x and loge x both refer unambiguously to the natural logarithm of x, and log x without an explicit base may also refer to the natural logarithm.1 this usage is the area under the hyperbola satisfies the logarithm rule. Natural logarithm (ln) rules & properties. One of the areas you will cover is natural logs. E is used in many cases especially in mathematical scenarios such as decay equations, growth equations, and compound.

Logarithm. Euler's number e | by Solomon Xie | All Math ... . The Power Rule That We Looked At A Couple Of Sections Ago Won't Work As That Required The Exponent To Be A Fixed Number And The Base To Be A Variable.

Natural Logarithm Rules - Ln(x) Rules | Numbers | Discrete .... In addition, since the inverse however, it's okay to apply the logarithm rules in reverse! In order to use the natural log, you will need to understand what ln is, what the rules for using ln are, and the useful properties of ln that you need to remember. The natural logarithm, whose symbol is ln, is a useful tool in algebra and calculus to simplify complicated problems. Natural logarithm (ln) rules & properties. E is used in many cases especially in mathematical scenarios such as decay equations, growth equations, and compound. Notice that the log expression can be expressed as one or a single logarithmic number. Because e is used so commonly in math and economics, and people in these fields often need to take the logarithm with a base of e of a number to. The notations ln x and loge x both refer unambiguously to the natural logarithm of x, and log x without an explicit base may also refer to the natural logarithm.1 this usage is the area under the hyperbola satisfies the logarithm rule. Natural log problems help you practice a lot of different rules and things all at once. These seven (7) log rules are useful in expanding logarithms, condensing logarithms, and solving logarithmic equations.

Rules of Logarithms and Exponents: A Guide for Students ... - There's really not a lot to differentiating natural logarithms and natural exponential functions at this point as long as you remember the formulas.

Exercise 3BLogarithms and Laws of Logarithms - Mathematics .... Where are in rules applied? Lists the basic log rules, explains how the rules work, and demonstrates how to expand logarithmic expressions by using these rules. One of the areas you will cover is natural logs. Natural logarithm is the logarithm to the base e of a number. Notice that the log expression can be expressed as one or a single logarithmic number. Natural logarithm (ln) rules & properties. Because e is used so commonly in math and economics, and people in these fields often need to take the logarithm with a base of e of a number to. The notations ln x and loge x both refer unambiguously to the natural logarithm of x, and log x without an explicit base may also refer to the natural logarithm.1 this usage is the area under the hyperbola satisfies the logarithm rule. Natural log rules for calculus. Natural log problems help you practice a lot of different rules and things all at once. In order to use the natural log, you will need to understand what ln is, what the rules for using ln are, and the useful properties of ln that you need to remember. E is used in many cases especially in mathematical scenarios such as decay equations, growth equations, and compound. These seven (7) log rules are useful in expanding logarithms, condensing logarithms, and solving logarithmic equations. The natural logarithm, whose symbol is ln, is a useful tool in algebra and calculus to simplify complicated problems. In addition, since the inverse however, it's okay to apply the logarithm rules in reverse!

How to solve the equation: 2ln(x-4)=lnx+ln2 - Quora , It Only Takes A Minute To Sign Up.

Calculus: Chapter 28. Natural logarithm (ln) rules & properties. Natural logarithm is the logarithm to the base e of a number. Because e is used so commonly in math and economics, and people in these fields often need to take the logarithm with a base of e of a number to. Where are in rules applied? Lists the basic log rules, explains how the rules work, and demonstrates how to expand logarithmic expressions by using these rules. One of the areas you will cover is natural logs. Natural log problems help you practice a lot of different rules and things all at once. These seven (7) log rules are useful in expanding logarithms, condensing logarithms, and solving logarithmic equations. E is used in many cases especially in mathematical scenarios such as decay equations, growth equations, and compound. Notice that the log expression can be expressed as one or a single logarithmic number. Natural log rules for calculus. In order to use the natural log, you will need to understand what ln is, what the rules for using ln are, and the useful properties of ln that you need to remember. The notations ln x and loge x both refer unambiguously to the natural logarithm of x, and log x without an explicit base may also refer to the natural logarithm.1 this usage is the area under the hyperbola satisfies the logarithm rule. In addition, since the inverse however, it's okay to apply the logarithm rules in reverse! The natural logarithm, whose symbol is ln, is a useful tool in algebra and calculus to simplify complicated problems.

Math Plane - Logarithms and Exponents I : All Loga Rules Apply For Log.

Quick Thoughts: Logarithms - Sara VanDerWerf. In order to use the natural log, you will need to understand what ln is, what the rules for using ln are, and the useful properties of ln that you need to remember. Natural logarithm is the logarithm to the base e of a number. Natural log problems help you practice a lot of different rules and things all at once. Because e is used so commonly in math and economics, and people in these fields often need to take the logarithm with a base of e of a number to. One of the areas you will cover is natural logs. E is used in many cases especially in mathematical scenarios such as decay equations, growth equations, and compound. Lists the basic log rules, explains how the rules work, and demonstrates how to expand logarithmic expressions by using these rules. Where are in rules applied? Notice that the log expression can be expressed as one or a single logarithmic number. In addition, since the inverse however, it's okay to apply the logarithm rules in reverse! The natural logarithm, whose symbol is ln, is a useful tool in algebra and calculus to simplify complicated problems. Natural log rules for calculus. The notations ln x and loge x both refer unambiguously to the natural logarithm of x, and log x without an explicit base may also refer to the natural logarithm.1 this usage is the area under the hyperbola satisfies the logarithm rule. These seven (7) log rules are useful in expanding logarithms, condensing logarithms, and solving logarithmic equations. Natural logarithm (ln) rules & properties.

* 77 ALGEBRA RULES FOR NATURAL LOG, RULES FOR NATURAL LOG ... : Natural Log Problems Help You Practice A Lot Of Different Rules And Things All At Once.

Logarithm. Euler's number e | by Solomon Xie | All Math .... Lists the basic log rules, explains how the rules work, and demonstrates how to expand logarithmic expressions by using these rules. The notations ln x and loge x both refer unambiguously to the natural logarithm of x, and log x without an explicit base may also refer to the natural logarithm.1 this usage is the area under the hyperbola satisfies the logarithm rule. In order to use the natural log, you will need to understand what ln is, what the rules for using ln are, and the useful properties of ln that you need to remember. Notice that the log expression can be expressed as one or a single logarithmic number. Natural log problems help you practice a lot of different rules and things all at once. One of the areas you will cover is natural logs. E is used in many cases especially in mathematical scenarios such as decay equations, growth equations, and compound. Natural logarithm (ln) rules & properties. Because e is used so commonly in math and economics, and people in these fields often need to take the logarithm with a base of e of a number to. Natural log rules for calculus. These seven (7) log rules are useful in expanding logarithms, condensing logarithms, and solving logarithmic equations. Where are in rules applied? Natural logarithm is the logarithm to the base e of a number. In addition, since the inverse however, it's okay to apply the logarithm rules in reverse! The natural logarithm, whose symbol is ln, is a useful tool in algebra and calculus to simplify complicated problems.

Logarithms Tips for ACT Math . There Are Four Following Math Logarithm Formulas:

Logarithms Worksheets. Notice that the log expression can be expressed as one or a single logarithmic number. Natural logarithm is the logarithm to the base e of a number. The natural logarithm, whose symbol is ln, is a useful tool in algebra and calculus to simplify complicated problems. Where are in rules applied? These seven (7) log rules are useful in expanding logarithms, condensing logarithms, and solving logarithmic equations. E is used in many cases especially in mathematical scenarios such as decay equations, growth equations, and compound. Because e is used so commonly in math and economics, and people in these fields often need to take the logarithm with a base of e of a number to. Natural logarithm (ln) rules & properties. In order to use the natural log, you will need to understand what ln is, what the rules for using ln are, and the useful properties of ln that you need to remember. Natural log problems help you practice a lot of different rules and things all at once. Natural log rules for calculus. Lists the basic log rules, explains how the rules work, and demonstrates how to expand logarithmic expressions by using these rules. In addition, since the inverse however, it's okay to apply the logarithm rules in reverse! The notations ln x and loge x both refer unambiguously to the natural logarithm of x, and log x without an explicit base may also refer to the natural logarithm.1 this usage is the area under the hyperbola satisfies the logarithm rule. One of the areas you will cover is natural logs.

Math Plane - Logarithms and Exponents I , Notes On Important Math Concepts That Are Prerequisites For Further Study In College.

Derivatives Of Exponential Functions Worksheet | Kids .... Natural logarithm (ln) rules & properties. Natural log problems help you practice a lot of different rules and things all at once. E is used in many cases especially in mathematical scenarios such as decay equations, growth equations, and compound. One of the areas you will cover is natural logs. Lists the basic log rules, explains how the rules work, and demonstrates how to expand logarithmic expressions by using these rules. Because e is used so commonly in math and economics, and people in these fields often need to take the logarithm with a base of e of a number to. Where are in rules applied? In addition, since the inverse however, it's okay to apply the logarithm rules in reverse! Notice that the log expression can be expressed as one or a single logarithmic number. Natural log rules for calculus. The natural logarithm, whose symbol is ln, is a useful tool in algebra and calculus to simplify complicated problems. These seven (7) log rules are useful in expanding logarithms, condensing logarithms, and solving logarithmic equations. In order to use the natural log, you will need to understand what ln is, what the rules for using ln are, and the useful properties of ln that you need to remember. The notations ln x and loge x both refer unambiguously to the natural logarithm of x, and log x without an explicit base may also refer to the natural logarithm.1 this usage is the area under the hyperbola satisfies the logarithm rule. Natural logarithm is the logarithm to the base e of a number.

Logarithm Rules 2 , In Order To Use The Natural Log, You Will Need To Understand What Ln Is, What The Rules For Using Ln Are, And The Useful Properties Of Ln That You Need To Remember.

Proofs of Logarithm Properties (solutions, examples, games .... The natural logarithm, whose symbol is ln, is a useful tool in algebra and calculus to simplify complicated problems. Natural log rules for calculus. In addition, since the inverse however, it's okay to apply the logarithm rules in reverse! Because e is used so commonly in math and economics, and people in these fields often need to take the logarithm with a base of e of a number to. In order to use the natural log, you will need to understand what ln is, what the rules for using ln are, and the useful properties of ln that you need to remember. These seven (7) log rules are useful in expanding logarithms, condensing logarithms, and solving logarithmic equations. Natural logarithm (ln) rules & properties. The notations ln x and loge x both refer unambiguously to the natural logarithm of x, and log x without an explicit base may also refer to the natural logarithm.1 this usage is the area under the hyperbola satisfies the logarithm rule. Notice that the log expression can be expressed as one or a single logarithmic number. One of the areas you will cover is natural logs. Lists the basic log rules, explains how the rules work, and demonstrates how to expand logarithmic expressions by using these rules. E is used in many cases especially in mathematical scenarios such as decay equations, growth equations, and compound. Natural logarithm is the logarithm to the base e of a number. Where are in rules applied? Natural log problems help you practice a lot of different rules and things all at once.

* 77 ALGEBRA RULES FOR NATURAL LOG, RULES FOR NATURAL LOG ... : When A Logarithm Is Written Ln It Means Natural Logarithm.

Physics and Math Questions? – Physics, Algebra, Geometry .... Because e is used so commonly in math and economics, and people in these fields often need to take the logarithm with a base of e of a number to. The natural logarithm, whose symbol is ln, is a useful tool in algebra and calculus to simplify complicated problems. Lists the basic log rules, explains how the rules work, and demonstrates how to expand logarithmic expressions by using these rules. These seven (7) log rules are useful in expanding logarithms, condensing logarithms, and solving logarithmic equations. E is used in many cases especially in mathematical scenarios such as decay equations, growth equations, and compound. Natural logarithm (ln) rules & properties. Natural log problems help you practice a lot of different rules and things all at once. In order to use the natural log, you will need to understand what ln is, what the rules for using ln are, and the useful properties of ln that you need to remember. One of the areas you will cover is natural logs. Natural log rules for calculus. Where are in rules applied? Notice that the log expression can be expressed as one or a single logarithmic number. Natural logarithm is the logarithm to the base e of a number. The notations ln x and loge x both refer unambiguously to the natural logarithm of x, and log x without an explicit base may also refer to the natural logarithm.1 this usage is the area under the hyperbola satisfies the logarithm rule. In addition, since the inverse however, it's okay to apply the logarithm rules in reverse!